Estradas rurais são suficientes para transformar a estrutura econômica de vilarejos?

Pesquisadora responsável: Eduarda Miller de Figueiredo

Título do artigo: RURAL ROADS AND LOCAL ECONOMIC DEVELOPMENT

Autores do artigo: Sam Asher e Paul Novosad

Localização da intervenção: Índia

Tamanho da amostra: 11.432 vilarejos

Setor: Mercado de Trabalho

Tipo de intervenção: Efeitos da construção de estradas

Variáveis de interesse: variável criada  através da subtração do limite do tratamento da população do vilarejo

Método de avaliação: Regressão Descontínua – fuzzy

Problema de política

No mundo todo existem quase um bilhão de pessoas vivendo em locais a mais de 2 quilômetros de distância de um local com pavimentação, sendo que um terço dessas pessoas estão na índia (world bank group, 2016). Buscando uma solução para este problema, o governo da índia lançou um programa de estradas para financiar a construção de estradas, o Prime Minister’s Village Road Program (PMGSY)[1].

A literatura afirma que a construção de estradas está associada a aumentos no crescimento, tanto agrícola quanto não agrícola, além de reduzir a pobreza. Visto que, estradas pavimentadas reduziriam preços de insumos com preços de produção mais altos, aumentando a produção de bens não agrícolas, que seria compensado por salários mais altos. A variação dos preços entre esses mercados é a principal argumentação de que as estradas rurais ajudariam a desenvolver a economia rural, interna e externa.

Entretanto, se os vilarejos possuem poucas exportações, podem ocasionar pouca demanda por transporte que as operadoras não estariam dispostas a pagar o custo fixo para chegar ao vilarejo, dessa forma, continuaria o problema dos altos custos de transporte após a construção de estradas pavimentadas.

Contexto de avaliação

O PMGSY está baseado na ideia de que estradas deficientes são o maior obstáculo no desenvolvimento rural rápido (National Rural Roads Development Agency, 2005) e, até 2015, beneficiou a construção de estradas que ligavam quase 200.000 vilarejos, com um custo de quase 40 bilhões de dólares.

A implementação do programa foi em locais que possuíam os limites populacionais: vilarejos superiores a 1.000 habitantes em 2003, com mais de 500 pessoas em 2007 e com população superior a 250 após 2007, conforme os dados do censo populacional de 2001. Até 2015, mais de 400.000 quilômetros foram construídos a um custo de quase 40 bilhões de dólares.

Figura 1: dados da construção de estradas através do PMGSY por ano

A figura 1 apresenta os dados da construção de estradas por ano, onde é possível perceber que a construção é insignificante até 2001, aumentando nos anos seguintes até atingir o pico de 11.107 vilarejos recebendo estradas em 2008 e, após, volta a reduzir o número de estradas.

Detalhes da política

Para a realização da pesquisa, utilizou-se dois limites de população nos vilarejos: 500 e 1.000. Os vilarejos que excedem esses limites, tinham 22 pontos percentuais a mais de probabilidade de receber uma estrada pavimentada, assim, os autores superaram o obstáculo da correlação entre a construção de estradas e as características econômicas e políticas da localidade, permitindo estimar o impacto causal através do método de regressão descontínua (rd).

Construiu-se uma base completa de dados que possui informações sobre todas as empresas e famílias nas áreas rurais da índia, com dados geográficos e socioeconômicos dos indivíduos, identidades e características dos vilarejos e características das firmas[1]. Com os dados, construiu uma proxy de consumo, que permitiu testar os impactos das estradas no consumo médio previsto per capita e os efeitos distributivos.

Os impactos de investimento em infraestrutura são complexos de analisar pois possuem um alto custo e um grande potencial de retorno, assim a alocação não é aleatória por parte dos formuladores de políticas. Dessa forma, não há um número suficiente de tratados e controle, mas os autores conseguiram superar este obstáculo através da combinação de variações quase aleatórias das regras do programa com os dados georreferenciados a nível de vilarejos.

Como as regras de limites populacionais não se alteram descontinuamente, a probabilidade de tratamento aumentará descontinuamente nesses limites, possibilitando estimar o efeito de novas estradas através de uma regressão descontínua fuzzy, no qual a variável dependente será a subtração do limite de tratamento da população do vilarejo. Deste modo, o estimador rd fuzzy calculou o efeito médio local do tratamento (late) de receber uma nova estrada para um vilarejo com população igual ao limite (+500, +1.000). 

Como variáveis de controle utilizou-se os indicadores de presença de escola primária, centro médico e eletrificação no vilarejo, o log da área total da terra agrícola, a parcela de terra agrícola que é irrigada, a distância da cidade densitária mais próxima, a proporção de trabalhadores na agricultura, a taxa de alfabetização, a parcela de habitantes pertencentes à casta regular, a parcela de famílias com terras agrícolas próprias, a proporção de famílias que são agricultores de subsistência e a parcela de famílias que ganham mais de us$ 4 por mês[2].

Figura 2: efeito da probabilidade de novas estradas em 2012

A figura 2 mostra a proporção de vilarejos que receberam novas estradas antes de 2012 em cada faixa populacional. Observa-se o aumento descontínuo na probabilidade de tratamento no limiar no qual, ao cruzar este limiar, aumenta a probabilidade de tratamento em 21-22%.

Resultados

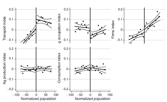
Os resultados mostram um grande efeito positivo na disponibilidade no serviço de transporte, uma significativa realocação de mão de obra fora da agricultura e um efeito positivo menor sobre o crescimento do emprego em pequenas empresas. Tais resultados são passíveis de observação na figura 5 que apresenta as representações gráficas para cada variável, demonstrando que os efeitos significativos aparecem no transporte e saída de mão de obra, mas pouco impacto nas empresas.

Figura 3: efeito das estradas nos índices dos principais resultados

Uma nova estrada causa um aumento significativo de 12,9 pontos percentuais na disponibilidade de serviços públicos de ônibus. Meios de transporte mais caros, como táxis e vans, não obtiveram crescimento significativo, porém o transporte motorizado privado mas mais barato (autorickshaws) apresentou um crescimento. Portanto, foi possível observar que as novas estradas afetam significativamente as conexões com o mercado externo.

Os resultados para a escolha ocupacional sugeriram que novas estradas causam 9,2 pontos percentuais de redução de trabalhadores na agricultura e um aumento de 7,2 pontos percentuais nos trabalhadores não agrícolas.  Como a terra é o principal insumo para produção agrícola, ao analisar os resultados para este índice, percebeu-se que uma nova estrada não muda significativamente a proporção de famílias que não têm terra.

Em relação às características dos indivíduos, os resultados sugerem que os homens são mais propensos a sair da agricultura, assim como os mais jovens.  Tal resultado poderia ser uma exemplificação da vantagem física dos homens no trabalho não agrícola ou de uma atitude contra o trabalho feminino longe de casa, conforme afirma goldin (1995), entretanto as estimativas do grupo de controle médio para trabalhadores homens e mulheres são muito próximas.

Foi estimado também um aumento de 27% no emprego em firmas não agrícolas e um crescimento significativo de 33% no varejo em resposta à uma nova estrada, que cria em média 4,2 novos empregos no vilarejo ao construir a estrada. Assim, os autores acreditam que é uma evidência que sugerem que as estradas facilitam mais o acesso ao mercado de trabalho externo do que o crescimento dos empregos nas empresas dos vilarejos.

Os autores não encontraram evidências de aumentos na propriedade de fazendas mecanizadas ou equipamentos de irrigação, assim como não observaram efeito nos ganhos, ativos ou consumos. Em suma, segundo os autores, os resultados demonstram que não há efeito na estrutura da produção agrícola com as novas estradas.

Lições de Política Pública

A construção de novas estradas possui impactos substanciais na atividade econômica, facilitando a realocação de mão de obra da agricultura, entretanto não gera grandes mudanças econômicas. Ou seja, estradas rurais aumentam os serviços de transporte e realocam a mão de obra para fora da agricultura, mas não agregam grandes mudanças nas empresas dos vilarejos.

Referência

ASHER, Sam; NOVOSAD, Paul. Rural roads and local economic development. American Economic Review, v. 110, n. 3, p. 797-823, 2020.


[1] Pradhan Mantri Gram Sadak Yojana.

[2] Nome das bases utilizadas: Socioeconomic High-resolution Rural-Urban Geographic Dataset (SHRUG), PMGSY, Socioeconomic and Caste Census (SECC) e Below Poverty Line (BPL).

[3] Aproximadamente 250 INR (rúpias indianas).